Version History

Type # Version Owner Created Size  
Version 1 2026-03-12 minutes.pdf

Initial Version

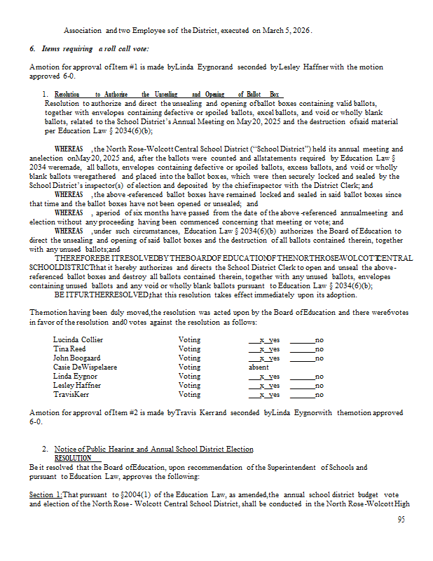
tfuller 03/30/26 01:30 PM 312926