Version History

Type # Version Owner Created Size  
Version 1 2025-08-14 minutes.pdf

Initial Version

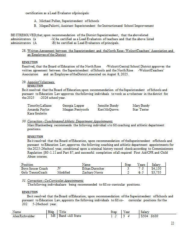
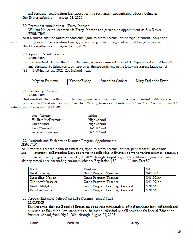
tfuller 09/02/25 08:48 AM 332903