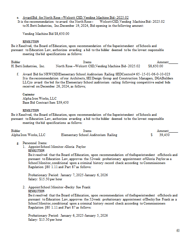
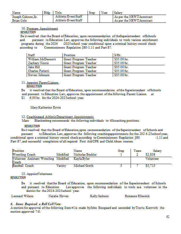
Version History

Type # Version Owner Created Size  
Version 1 2025-01-09 minutes.pdf

Initial Version

tfuller 01/27/25 08:20 AM 286643